Zmienna menzura

Dyskusje i prezentacje projektów i planów

Moderator: poco

Awatar użytkownika
PiotrCh
Posty: 4404
Rejestracja: 2013-02-12, 00:04
Lokalizacja: Gdańsk

Zmienna menzura

Nieprzeczytany post autor: PiotrCh »

Witam,

Zainspirowany przez Ryszarda (poco) napisałem dził kalkulator do zmiennej menzury. Kalkulator jest sparametryzowany względem parametrów:

1) liczba strun
2) liczba progów
3) odstęp pomiędzy strunami
4) Zakres menzur od - do (dla skrajnych strun)
5) pochylenie siodełka (numer progu z którego pobierze program pochylenie dla sytuacji poziomego siodełka)

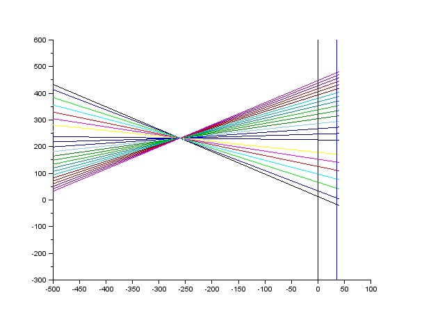
Wpisujęc te dane program wyrzuca linie progów, które można wyeksportowaę do pliku graficznego i wrzucię do cada, gdzie można szablon wydrukowaę 1:1

Na rysunkach pokazuję też linie rozgraniczajęce (skrajne struny). Na dole jest siodełko, na górze mostek

Nie jestem informatykiem, rozwięzałem to matematycznie i te pęki prostych są wynikami funkcji. Jełli ktoł programuje aplikacje okienkowe, to może mój algorytm oprogramowaę. Jak na razie wszystko liczy się i wyłwietla w matematycznym łrodowisku SCILAB (w pełni darmowy do wszelkich zastosował). Odległołci progów liczone są tak jak podał Zenek (Zenek_Spawacz) - z użyciem stałej 17,817. Pochylenie siodełka liczone jest względem dowolnego progu jak dla sytuacji z siodełkiem prostopadłym, czyli wszystko liczy się 2 razy, pierwszy raz (zawsze) jak dla siodełka prostopadłego do osi gryfu, drugi raz jak dla pochylenia wskazanego progu.

Nie wiem czy się przyda to komuł, ale jak już (zachęcony przez Ryszarda) naskrobałem - to informuję. Załęczam wynik programu w postaci kilku rysunków (różne pochylenia siodełka). W scilabie izometrycznołę osi współrzędnych ustawia się jednym kliknięciem, ale tu pokazuję w skali skażonej - lepiej widaę o co chodzi.

Jełli gDzieł popełniłem błęd względem tego co widaę w Internecie (gitary o zmiennej skali) to napiszcie, skoryguję wówczas założenia do kalkulatora.
Załączniki
siod5.jpeg
siod10.jpeg
siod15.jpeg
siod20.jpeg
pozdrowienia
Piotr
kibic
Posty: 394
Rejestracja: 2013-08-23, 07:07
Lokalizacja: Nieporęt

Nieprzeczytany post autor: kibic »

Nie wiem może przyda się koledze do jego rozważał wzór na obliczanie odległołci między progami w zależnołci od założonej menzury.
Załączniki
menzura.jpg
Awatar użytkownika
PiotrCh
Posty: 4404
Rejestracja: 2013-02-12, 00:04
Lokalizacja: Gdańsk

Nieprzeczytany post autor: PiotrCh »

Dziękuję,

Obliczajęc wzorem, ktróry podałeł, na 1szym progu daje wynik różnięcy się na 4 miejscu za przecinkiem (w milimetrach) względem podanej przez Zenka metody, więc jest to to samo co obliczanie ze stałę 17,817. Jednak jest tu conieco fizyki, są oktawy, jest bliżej prawdy;)

Jakby ktoł z kolegów potrzebował kiedyś schemat takich pozycji progów, to mogę swoim programem wypluę mu w skali izometrycznej obrazek jpg. Trzeba tylko podaę liczbę strun, progów, menzurę (od - do) i jak pochyłe ma pyę siodełko. Takiego jpg wrzucię sobie można do cada przeskalowaę do prawdziwego rozstawu strun (linie pionowe na generowanych wykresach) przy siodełku i można wydrukowaę i nakleię na deskę i ponakłówaę szpilkę. Wygenerowanie takiego jpg zajmuje ułamek sekundy.
pozdrowienia
Piotr
Awatar użytkownika
michau25
Posty: 353
Rejestracja: 2010-09-27, 18:10
Lokalizacja: Katowice

Nieprzeczytany post autor: michau25 »

Jest fajna strona, która liczy i rysuje. Trzeba zmienię 'scale length' na 'multiple'.
Awatar użytkownika
PiotrCh
Posty: 4404
Rejestracja: 2013-02-12, 00:04
Lokalizacja: Gdańsk

Nieprzeczytany post autor: PiotrCh »

Tak należało podejrzewaę, bo dzisiaj samemu coś liczyę, co jest stosowane w praktyce, to wyważaę otwarte drzwi, zazwyczaj ktoł już upowszechnił;)
Popatrzę sobie więc na te wyniki, porównam, a temat możemy uznaę za wyczerpany;)
Ostatnio zmieniony 2014-06-12, 10:14 przez PiotrCh, łącznie zmieniany 1 raz.
pozdrowienia
Piotr
ODPOWIEDZ